SOLUTION: i'm learning about ellipses and i have the problem: x squared+4y squared-6x+24y+41=0 i need to find the center, foci, and vertices. i have no idea how to even start, i tried by

Algebra ->  Quadratic-relations-and-conic-sections -> SOLUTION: i'm learning about ellipses and i have the problem: x squared+4y squared-6x+24y+41=0 i need to find the center, foci, and vertices. i have no idea how to even start, i tried by      Log On


   



Question 278068: i'm learning about ellipses and i have the problem:
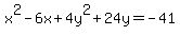
x squared+4y squared-6x+24y+41=0
i need to find the center, foci, and vertices.
i have no idea how to even start, i tried by first completing the square but i'm missing something because i get confused by that 41 that is thrown in there, please help.

Answer by Edwin McCravy(20060) About Me  (Show Source):
You can put this solution on YOUR website!
i'm learning about ellipses and i have the problem:
x squared+4y squared-6x+24y+41=0
i need to find the center, foci, and vertices.
i have no idea how to even start, i tried by first completing the square but i'm missing something because i get confused by that 41 that is thrown in there, please help.

x%5E2%2B4y%5E2-6x%2B24y%2B41=0

Get the number on the right by adding -41 to both sides:

x%5E2%2B4y%5E2-6x%2B24y=-41

Swap the two middle terms to get the x-term next to the x%5E2-term
x%5E2-6x%2B4y%5E2%2B24y=-41

Multiply the coefficient of x, which is -6, by 1%2F2,
get -3 then square that number %28-3%29%5E2 which 
gives red%28%22%2B9%22%29

Now add red%28%22%2B9%22%29 to both sides:

x%5E2-6x%2Bred%289%29%2B4y%5E2%2B24y=-41%2Bred%289%29

Since the y%5E2 term has a coefficient other than 1,
factor the 4 out of the last two terms on the left:

x%5E2-6x%2Bred%289%29%2B4%28y%5E2%2B6y%29=-41%2Bred%289%29

Now we complete the square inside the parentheses.

Multiply the coefficient of y, which is 6, by 1%2F2,
get 3 then square that number 3%5E2 which 
gives green%28%22%2B9%22%29

Now we add green%28%22%2B9%22%29 inside the parentheses.  However
when we add %22%2B9%22 inside the parentheses we are REALLY
adding 4%2Agreen%28%22%2B9%22%29 or green%28%22%2B36%22%29 to the left side 
because everything in the parentheses is multiplied by the 4
in front of the parentheses.  So we add %22%2B36%22 to the right side:

x%5E2-6x%2Bred%289%29%2B4%28y%5E2%2B6y%2Bgreen%289%29%29=-41%2Bred%289%29%2Bgreen%2836%29

Now we factor the first three terms as %28x-3%29%28x-3%29 or %28x-3%29%5E2
and we factor the three terms inside the parentheses as %28y%2B3%29%28y%2B3%29
or %28y%2B3%29%5E2, and combine the numbers on the right as 4

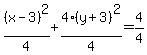
%28x-3%29%5E2%2B4%28y%2B3%29%5E2=4

Now to get 1 on the right we divive every term through by 4

%28x-3%29%5E2%2F4%2B4%28y%2B3%29%5E2%2F4=4%2F4

%28x-3%29%5E2%2F4%2B%28y%2B3%29%5E2%2F1=1

Notice that I left a 1 under the bottom of the second term
so that it would be in standard form

Since 4 is larger than 1 and the larger term is under
the %28x-h%29%5E2 term it is in the form

%28x-h%29%5E2%2Fa%5E2%2B%28y-k%29%5E2%2Fb%5E2=1 

and has its major axis horizontal.

h=3, k=-3, a%5E2=4, so a=2

b%5E2=1, so b=1, so we plot the center {3,-3)



Then we draw the major axis by drawing a horizontal line a=2
units both right and left of the center (3,-3)



Now we can get the vertices, for they are the points ar the ends
of the major axis, and we can see that the major axis, the green
line segment starts at (1,-3) on the left and goes to (5,-3) on
the right, so the vertices are

(1,-3) and (5,-3)

Now we draw the minor axis by drawing a horizontal line b=1
units both up and down from the center (3,-3):



Now we can sketch in the ellipse:



Finally we need to find the foci.  The distance from
the center to each focus is c and c is
calculated by this Pythagorean identity:

c%5E2=a%5E2-b%5E2

c%5E2=2%5E2-1%5E2

c%5E2=4-1

c=sqrt%283%29

The coordinates of the foci are
points which are distance of sqrt%283%29
units right and left of the center on the major axis,

so the two foci are these points: 

(3-Ö3,-3) and (3+Ö3,-3)

They are plotted below:



Edwin