SOLUTION: sketch the portion of graph in the first quadrant and use symmetry to complete the rest of the graph 4x^2+16y^2=16

Algebra ->  Quadratic-relations-and-conic-sections -> SOLUTION: sketch the portion of graph in the first quadrant and use symmetry to complete the rest of the graph 4x^2+16y^2=16      Log On


   



Question 233394: sketch the portion of graph in the first quadrant and use symmetry to complete the rest of the graph


4x^2+16y^2=16

Answer by Edwin McCravy(20059) About Me  (Show Source):
You can put this solution on YOUR website!

It's symmetrical with respect to the x-axis 
because if we replace x by -x and simplify, we
get the same equation we started with:

4x%5E2%2B16y%5E2=16

4%28-x%29%5E2%2B16y%5E2=16

4x%5E2%2B16y%5E2=16

It's symmetrical with respect to the y-axis also 
because if we replace y by -y and simplify, we
get the same equation we started with:

4x%5E2%2B16y%5E2=16

4x%5E2%2B16%28-y%29%5E2=16

4x%5E2%2B16y%5E2=16
 
It's symmetrical with respect to the origin 
because if we replace x by -x and y by -y
at the same time and simplify, we also
get the same equation we started with:

4x%5E2%2B16y%5E2=16

4%28-x%29%5E2%2B16%28-y%29%5E2=16

4x%5E2%2B16y%5E2=16

Next we find some first quadrant points.

Choose x=0

Substitute in

4x%5E2%2B16y%5E2=16

4%280%29%5E2%2B16y%5E2=16
0%2B16y%5E2=16
16y%5E2=16
y%5E2=1
y%5E2-1=0
%28y-1%29%28y%2B1%29=0

This gives y=1 and y=-1

So a point in the first quadrant is (0,1)

(Actually it's a point on the BORDER of the first
quadrant, on the y-axis)

Choose x=1

Substitute in

4x%5E2%2B16y%5E2=16

4%281%29%5E2%2B16y%5E2=16
4%2B16y%5E2=16
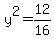
16y%5E2=12
y%5E2=12%2F16
y%5E2=3%2F4

This gives y=sqrt%283%29%2F2 and y=-sqrt%283%29%2F2

So a point in the first quadrant is (0,sqrt%283%29%2F2),

which is about (1, .9)

Choose x=2

Substitute in

4x%5E2%2B16y%5E2=16

4%282%29%5E2%2B16y%5E2=16
4%284%29%2B16y%5E2=16
16%2B16y%5E2=16
16y%5E2=0
y%5E2=0

This gives y=0 

So another point in the first quadrant is (2,0)

(Actually it's another point on the BORDER of the first
quadrant, this time on the x-axis)

Plot those three first quadrant points:



Next by the symmetry, we can reflect these three points
in both the x-axis and the y-axis, (like a mirror!) and 
we have this:



Now we can sketch the curve:




Edwin