SOLUTION: how do you find the midpoint and the distance of two points which is (1). radical 2 plus (+) 1, radical 2; (2) radical 2 -1 and 2 radical 2?

Algebra ->  Quadratic-relations-and-conic-sections -> SOLUTION: how do you find the midpoint and the distance of two points which is (1). radical 2 plus (+) 1, radical 2; (2) radical 2 -1 and 2 radical 2?      Log On


   



Question 203834: how do you find the midpoint and the distance of two points which is (1). radical 2 plus (+) 1, radical 2; (2) radical 2 -1 and 2 radical 2?
Answer by jsmallt9(3758) About Me  (Show Source):
You can put this solution on YOUR website!
Short answer: The same way you find any midpoint and the same way you find any distance.

An important idea to understand in Math is that basic logic does not change when the format of the numbers change. Formulas can be used regardless of the types of numbers involved. (The arithmetic may be more difficult for fractions and square roots than it is for "nice" whole numbers but the formulas still work.)
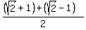
Your points are (sqrt%282%29+%2B+1, sqrt%282%29) and sqrt%282%29+-+1, 2sqrt%282%29)
The midpoint formula: (%28x%5B1%5D+%2B+x%5B2%5D%29%2F2, %28y%5B1%5D+%2B+y%5B2%5D%29%2F2)
Substituting your x and y coordinates we get:
(%28%28sqrt%282%29+%2B+1%29+%2B+%28sqrt%282%29+-+1%29%29%2F2, %28%28sqrt%282%29%29+%2B+%282sqrt%282%29%29%29%2F2)
Simplifying the numerators we get:
(%282sqrt%282%29%29%2F2, %283sqrt%282%29%29%2F2)
The x coordinate fraction will reduce:
(sqrt%282%29, %283sqrt%282%29%29%2F2)
which is the midpoint.

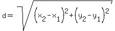
The distance formula is: d+=+sqrt%28%28x%5B2%5D+-x%5B1%5D%29%5E2+%2B+%28y%5B2%5D+-+y%5B1%5D%29%5E2%29
Substituting your x and y coordinates into the formula we get:

Simplifying we get:
d+=+sqrt%28%28-2%29%5E2+%2B+%28sqrt%282%29%29%5E2%29
d+=+sqrt%284+%2B+2%29
d+=+sqrt%286%29
So the distance between the two points is sqrt%286%29