|
Question 196562: May you please help me with the following hyperbola in standard form:
find the center, foci, the length of one of the two axes (transverse or conjugate) which is parallel to the y-axis, and the two asymptotes
Answer by Edwin McCravy(20059) (Show Source):
You can put this solution on YOUR website! find the center, foci, the length of one of the two axes (transverse or conjugate) which is parallel to the y-axis, and the two asymptotes.
Rewrite that as:
and compare with
, ,
, so
, so
The center (h,k) = (1,1)
We start out plotting the center C(h,k) = C(1,1)
Next we draw the left semi-transverse axis,
which is a segment units long horizontally
left from the center. This semi-transverse
axis ends up at one of the two vertices ( ,1).
We'll call it V1( ,1).:
Next we draw the right semi-transverse axis,
which is a segment units long horizontally
right from the center. This other semi-transverse
axis ends up at the other vertex ( ,1).
We'll call it V2( ,1).:
That's the whole transverse ("trans"="across",
"verse"="vertices", the line going across from
one vertex to the other. It is 2a in length,
so the length of the transverse axis is
Next we draw the upper semi-conjugate axis,
which is a segment b=1 units long verically
upward from the center. This semi-conjugate
axis ends up at (1,2).
Next we draw the lower semi-conjugate axis,
which is a segment b=1 units long verically
downward from the center. This semi-conjugate
axis ends up at (1,0).
That's the complete conjugate axis. It is 2b in length,
so the length of the transverse axis is 2b=2(1)=2
Next we draw the defining rectangle which has the
ends of the transverse and conjugate axes as midpoints
of its sides:
Next we draw and extend the two diagonals of this defining
rectangle:
Now we can sketch in the hyperbola:
Next we find the equations of the two asymptotes.
Their slopes are ± or ±
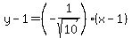
The asymptote that has slope goes through the center
C(1,1), so its equation is found using the point-slope
formula:
Multiply through by
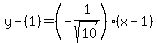
The asymptote that has slope goes through the center
C(1,1), so its equation is also found using the point-slope
formula:
Multiply through by
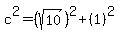
All that's left is to find the two foci.
The distance from the vertex, through the center
to each foci is c units. We calculate c from
So the left focus is units
left of the center (1,1), so the left
focus is the point ( ,1). That's
just a little left of the vertex V1. And the right
focus is units right of the center
(1,1), so the right focus is the point ( ,1).
That's just a little right of the vertex V2. I won't
bother to plot them.
Edwin
|
|
|
| |