SOLUTION: I need to Identify the conic section, then place in standard form. The equation is: 4x^2+y^2+8x-4y-28=0 This is as far as i have been able to solve it. (4x^2+8x)+(y^2-4y)=2

Algebra ->  Quadratic-relations-and-conic-sections -> SOLUTION: I need to Identify the conic section, then place in standard form. The equation is: 4x^2+y^2+8x-4y-28=0 This is as far as i have been able to solve it. (4x^2+8x)+(y^2-4y)=2      Log On


   



Question 141095: I need to Identify the conic section, then place in standard form. The equation is: 4x^2+y^2+8x-4y-28=0
This is as far as i have been able to solve it.
(4x^2+8x)+(y^2-4y)=28
[4(x+1)^2-1]+(y-2)^2-4=28
+4 +4
4(x+1)^2+(y-2)^2-1=32
+1 +1
4(x+1)^2/33+(y-4)^2/33=1

any help you can give would be wonderful. Thank you.

Answer by rapaljer(4671) About Me  (Show Source):
You can put this solution on YOUR website!
4x^2+y^2+8x-4y-28=0

Sort it out and factor the coefficient of x^2. Leave spaces in order to complete the square in the next steps:
4x%5E2+%2B8x+%2B_____%2By%5E2+-4y+%2B+_____+=+28
4%28x%5E2+%2B2x+%2B_____%29%2By%5E2+-4y+%2B+_____+=+28+%2B+_____+%2B+_____

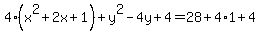
To complete the square, you must take half of the x coefficient (Half of 2 is 1, and square which is 1. On the right side, however, you must add 4*1 which is 4. It should look like this:
4%28x%5E2+%2B2x+%2B_____%29%2By%5E2+-4y+%2B+_____+=+28+%2B+_____+%2B+_____
4%28x%5E2+%2B2x+%2B1++%29%2By%5E2+-4y+%2B+4+=+28+%2B+4%2A1+%2B+4
4%28x%2B1%29%5E2+%2B+%28y-2%29%5E2+=+36+

Divide both sides by 36 to write this in standard form for an ellipse:
4%28x%2B1%29%5E2+%2B+%28y-2%29%5E2+=+36+
%284%28x%2B1%29%5E2%29%2F36+%2B+%28%28y-2%29%5E2%29%2F36+=+36%2F36+
%28%28x%2B1%29%5E2%29%2F9+%2B+%28%28y-2%29%5E2%29%2F36+=+1+

This is an ellipse, with center at (-1,2), with a "radius" of 3 in the x direction, and a "radius" of 6 in the y direction.

R^2