SOLUTION: Vertex (3,2) and Focus at (4,2)

Algebra ->  Quadratic-relations-and-conic-sections -> SOLUTION: Vertex (3,2) and Focus at (4,2)      Log On


   



Question 1203574: Vertex (3,2) and Focus at (4,2)
Found 3 solutions by josgarithmetic, ikleyn, greenestamps:
Answer by josgarithmetic(39620) About Me  (Show Source):
You can put this solution on YOUR website!
Parabola? The symmetry axis is y=2, and is a horizontal line. Directrix is the cross%28horizontal%29 line, x=2. Directrix can also be shown as a general "point" (2,y).

If you know the form of this equation then use that. If you are unsure but you know the Distance Formula definition of parabola, then,....

*************
Choosing the distance formula
%28x-4%29%5E2%2B%28y-2%29%5E2=%28x-2%29%5E2%2B%28y-y%29%5E2
.
carry out the steps
.
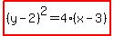
highlight%28%28y-2%29%5E2=4%28x-3%29%29

Answer by ikleyn(52798) About Me  (Show Source):
You can put this solution on YOUR website!
.

In his post, @josgarithmetic writes "Directrix is the horizontal line, x=2."

This wording is incorrect and can perplex/confuse you.

The correct wording, relevant to this problem, is "Directrix is a highlight%28highlight%28vertical%29%29 line, x=2."



Answer by greenestamps(13200) About Me  (Show Source):
You can put this solution on YOUR website!


Note it is poor practice to post relevant data without asking a question....

The focus is 1 unit to the right of the vertex, so the parabola opens to the right.

One form of the equation for that kind of parabola is

x-h=%281%2F%284p%29%29%28y-k%29%5E2

where (h,k) is the vertex and p is the directed distance from the vertex to the focus.

With the vertex at (3,2) and the focus 1 unit to the right, h=3, k=2, and p=1:

x-3=%281%2F4%29%28y-2%29%5E2

An alternative equivalent form is

%28y-2%29%5E2=4%28x-3%29