SOLUTION: find the following:Semi-Transverse length a, Semi-Conjugate length b,Vertices,Co-Vertices and Foci of 9x^2-4y^2-36x+8y=4

Algebra ->  Quadratic-relations-and-conic-sections -> SOLUTION: find the following:Semi-Transverse length a, Semi-Conjugate length b,Vertices,Co-Vertices and Foci of 9x^2-4y^2-36x+8y=4      Log On


   



Question 1199474: find the following:Semi-Transverse length a, Semi-Conjugate length b,Vertices,Co-Vertices and Foci of 9x^2-4y^2-36x+8y=4
Found 2 solutions by mccravyedwin, Edwin McCravy:
Answer by mccravyedwin(407) About Me  (Show Source):
You can put this solution on YOUR website!
I'll do this one instead.  It's done exactly the same as yours step by step:

25x%5E2-16y%5E2-200x%2B96y=144

Rearrange to get the terms in x together and the terms in y together.

25x%5E2-200x-16y%5E2%2B96y=144

Factor 25 out of the 1st and 2nd terms on the left, and factor -16 out of the
3rd and 4th terms on the left:

25%28x%5E2-8x%29-16%28y%5E2%2B6y%29=144

Skip a big space at the end of each parentheses because we're going to insert
a couple of terms in each one to complete the square.

25%28x%5E2-8x%2B%22_______%22%29-16%28y%5E2%2B6y%2B%22_______%22%29=144

In the first parentheses:
Multiply the coefficient of x, which is -8, by 1/2 getting -4.
Square -4, getting (-4)2 or +16, so we add and subtract 16 in the
first blank, that is, put +16-16 in the first blank:

25%28x%5E2-8x%2B16-16%29-16%28y%5E2%2B6y%2B%22_______%22%29=144

In the second parentheses:
Multiply the coefficient of y, which is -6, by 1/2 getting -3.
Square -3, getting (-3)2 or +9, so we add and subtract 9 in the
second blank, that is, put +9-9 in the second blank:

25%28x%5E2-8x%2B16-16%29-16%28y%5E2%2B6y%2B9-9%29=144

Factor the first three terms in each parentheses:
            x%5E2-8x%2B16=%28x-4%29%28x-4%29=%28x-4%29%5E2
            y%5E2-6y%2B9=%28x-3%29%28x-3%29=%28x-3%29%5E2    
 
25%28%28x-4%29%5E2-16%29-16%28%28x-3%29%5E2-9%29=144

Distribute the 25 and the -16, being careful to leave the squared parentheses intact:

25%28x-4%29%5E2-400-16%28x-3%29%5E2%2B144=144

25%28x-4%29%5E2-16%28x-3%29%5E2-256=144

25%28x-4%29%5E2-16%28x-3%29%5E2=400

Divide every term by 400 to get 1 on the right side:

25%28x-4%29%5E2%2F400-16%28x-3%29%5E2%2F400=400%2F400

cancel:

%28x-4%29%5E2%2F16-%28x-3%29%5E2%2F25=1

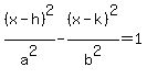
Compare to

%28x-h%29%5E2%2Fa%5E2-%28x-k%29%5E2%2Fb%5E2=1

Where the center is (h,k) = (4,3),
semi-transverse axis length = a = 4, 
semi-conjugate axis length = b = 5

Plot the center (h,k) = (4,3).
Draw the transverse axis horizontally from the center a=4 units 
right and a=4 units left.

Draw the conjugate axis vertically from the center b=5 units 
upward and b=5 units downward.



The endpoints of the transverse axes are the two vertices.
From the graph, we see they are (0,3), and (8,3).

The endpoints of the conjugate axes are the two co-vertices.
From the graph, we see they are (4,-2), and (4,8).

Next, we draw the defining rectangle around the transverse
and conjugate axes like this.  And we draw and extend the
two diagonals of the defining rectangle:



Now we can sketch in the hyperbola approching the two ansymptotes:



Edwin


Answer by Edwin McCravy(20059) About Me  (Show Source):
You can put this solution on YOUR website!
I forgot to do the foci above.



The focal distance is c, which is found from the Pythagorean
relation c%5E2=a%5E2%2Bb%5E2

c%5E2=4%5E2%2B5%5E2
c%5E2=16%2B25
c%5E2=41
c=sqrt%2841%29  <---(I think on your problem this comes out to be an integer.)

So the foci are sqrt%2841%29 or about 6.4 units right and left of the
center. so we get two points right and left of the center about 6.4 units
from the center, the foci are approximately (4+6.4,3) and (4-6.4,3), which
are approximately the points (10.4,3) and (-2.4,3), as shown on the graph
below:





Edwin