Question 1194738: Write the equation of the hyperbola with a center at (4, -1), transverse axis is parallel to the y-axis, distance between the foci is 10, one endpoint of the conjugate axis is at (6, -1).
Answering this question would mean a lot to me, thanks!!
Answer by MathLover1(20850) (Show Source):
You can put this solution on YOUR website! given:
a center at ( , ),
transverse axis is parallel to the y-axis,
distance between the foci is ,
one endpoint of the conjugate axis is at ( , )
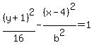
if the transverse axis is parallel to the y-axis, use the standard form
if a center at ( , )=> ,
the distance from the center to the given endpoint of the conjugate axis, and we know
so far equation is
The center is its midpoint, so the two foci are ( , ) and ( , ).
is distance between center and foci, so
The two blue lines are the latus rectums. They are given as , so by subtraction of half that or from the x-coordinate of the focus ( , ), we get that
the left end of the upper latus rectum is the point ( ,

|
|
|