SOLUTION: find the equation of the hyperbola with center at (4,-1) transverse axis parallel to the y axis, distance between foci 10, and latus rectum 4/3.

Algebra ->  Quadratic-relations-and-conic-sections -> SOLUTION: find the equation of the hyperbola with center at (4,-1) transverse axis parallel to the y axis, distance between foci 10, and latus rectum 4/3.       Log On


   



Question 1191031: find the equation of the hyperbola with center at (4,-1) transverse axis parallel to the y axis, distance between foci 10, and latus rectum 4/3.

Found 2 solutions by MathLover1, ikleyn:
Answer by MathLover1(20850) About Me  (Show Source):
You can put this solution on YOUR website!


given:
center at (4,-1)
transverse axis parallel to the y axis,
distance between foci 10
latus rectum 4%2F3


%28x-h%29%5E2%2Fa%5E2-%28y-k+%29%5E2%2Fb%5E2=1
given:
Center at (4,-1)=>h=4, k=-1
latus rectum %282b%5E2%29%2Fa=4%2F3=> 2b%5E2=4->b%5E2=2+and +a=3
c=sqrt%289%2B2%29=sqrt%2811%29
distance between foci 10
equation is:
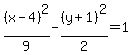
%28x-4%29%5E2%2F9-%28y%2B1+%29%5E2%2F2=1





Answer by ikleyn(52800) About Me  (Show Source):
You can put this solution on YOUR website!
.
find the equation of the hyperbola with center at (4,-1) transverse axis parallel to the y axis,
distance between foci 10, and latus rectum 4/3.
~~~~~~~~~~~~~~~

The  " solution "  by  @MathLover1 is  INCORRECT.

Just because she,  by mistake,  presented the hyperbola with horizontal transverse axis,
while the problem asks for vertical transverse axis.