SOLUTION: Please help me with this. foci (-2, 3) and (4, 3) b=4. This is only the problem the teacher gave us. This is all about ellipse

Algebra ->  Quadratic-relations-and-conic-sections -> SOLUTION: Please help me with this. foci (-2, 3) and (4, 3) b=4. This is only the problem the teacher gave us. This is all about ellipse       Log On


   



Question 1187453: Please help me with this. foci (-2, 3) and (4, 3) b=4. This is only the problem the teacher gave us. This is all about ellipse

Answer by MathLover1(20850) About Me  (Show Source):
You can put this solution on YOUR website!

Equation of the ellipse: +%28x-h%29%5E2%2Fa%5E2%2B%28y-k%29%5E2%2Fb%5E2=1 where h and k are the coordinates of the center, a is semimajor axis length, and b semiminor axis length
given:
foci (-2, 3) and (4, 3)
b=4
the center is midpoint between foci, and its coordinates will be at (%28-2%2B4%29%2F2,%283%2B3%29%2F2)= (1,3)=>h=1 and k=3
the distance between the foci is equal to 2c
2c=sqrt%28%28-2-4%29%5E2%2B%283-3%29%5E2%29
2c=sqrt%2836%2B0%29
2c=sqrt%2836%29
2c=+6
c=+3
substitute it in equation of elipse
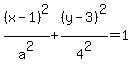
+%28x-1%29%5E2%2Fa%5E2%2B%28y-3%29%5E2%2F4%5E2=1
+%28x-1%29%5E2%2Fa%5E2%2B%28y-3%29%5E2%2F16=1 .............use cand b to calculate a
c%5E2=a%5E2-b%5E2
a=sqrt%28c%5E2%2Bb%5E2%29
a=sqrt%283%5E2%2B4%5E2%29
a=sqrt%2825%29
a=5
and your equation is:
%28x-1%29%5E2%2F25%2B%28y-3%29%5E2%2F16=1