Question 1187159: Write the equation of the hyperbola given the following information Vertices : (2, - 6); (- 4, - 6) Foci: (- 1 + sqrt(10), - 6), (- 1 - sqrt(10), - 6)
Found 2 solutions by MathLover1, ikleyn: Answer by MathLover1(20850) (Show Source):
You can put this solution on YOUR website! Write the equation of the hyperbola given the following information
Vertices : ( , ); ( , )
Foci: ( , ), ( , )
the canter is half way between
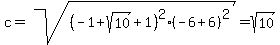
( , )=( ,( )=( , )
=>
Foci: ( , ), ( , )
=distance from the center to foci





your equation is:
Answer by ikleyn(52799) (Show Source):
|
|
|