Question 1187043: FIND THE EQUATION OF THE PARABOLA WITH VERTICAL AXIS THAT PASSES THROUGH THE POINT (0,2) AND THE POINTS OF INTERSECTION OF THE PARABOLAS x² + 2x + 3y + 4 = 0 AND x² - 3x+ y + 3 = 0.
Answer by josgarithmetic(39620) (Show Source):
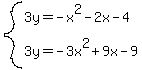
You can put this solution on YOUR website! First best to find the intersection points of the two quadratic equations.
Equate the expressions for 3y.
discrim,
zeros of the quadratic eq.
----------------(could also have easily been factored if really wanted)
Find the corresponding y values.

IF x at , 
IF x at 5,
The two given parabolas intersect at (1/2, -9/4) and (5, -63).
Now, you want to find equation for the parabola with vertical symmetry axis and containing the three points (0,2), (1/2, -9/4), and (5, -63). You could setup three equations using these points starting in a format , and solve the system. You continue with that.
|
|
|