SOLUTION: Find the standard form of the hyperbola with; V_1 (-3,-3), V_2 ( 5,-3) (asymptote : y+3 = 1/2(x-1) Can you help me please...

Algebra ->  Quadratic-relations-and-conic-sections -> SOLUTION: Find the standard form of the hyperbola with; V_1 (-3,-3), V_2 ( 5,-3) (asymptote : y+3 = 1/2(x-1) Can you help me please...      Log On


   



Question 1185041: Find the standard form of the hyperbola with;
V_1 (-3,-3), V_2 ( 5,-3)
(asymptote : y+3 = 1/2(x-1)
Can you help me please...

Answer by greenestamps(13200) About Me  (Show Source):
You can put this solution on YOUR website!


The vertices are (-3,-3) and (5,-3). That means

(1) the center is (1,-3)
(2) the branches open right and left

The standard form of the equation is then

%28x-1%29%5E2%2Fa%5E2-%28y%2B3%29%5E2%2Fb%5E2=1

The slope of one asymptote, 1/2, is equal to b/a.

b%2Fa=1%2F2
a=2b

Substitute that into the equation:

%28x-1%29%5E2%2F%284b%5E2%29-%28y%2B3%29%5E2%2Fb%5E2=1

Substitute the known point (5,-3) into the equation to find b:

4%5E2%2F%284b%5E2%29-0=1
16%2F%284b%5E2%29=1
b%5E2=4
b=2

Then

a=2b=4

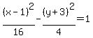
ANSWER:
%28x-1%29%5E2%2F16-%28y%2B3%29%5E2%2F4=1