|
Question 1183607: Locate the center, vertices, the foci, and the ends of the latera recta then graph the ellipse whose equation is 4x²+9y²-16x+18y-11=0.
Answer by KMST(5328) (Show Source):
You can put this solution on YOUR website! 




The equation above shows that that or are axes (of symmetry) of the ellipse.
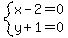
The center of the ellipse is the point where they intersect:
the point 
Your teacher may like to write the equation as or ,
dividing by both sides of
.
They are just equivalent equations for the same ellipse.
You could say they show more clearly that for all the points of the ellipse
--> and --> 
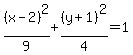
They also show that the vertices of the ellipse are on the axes at and
at , , , and .
The segment AB, on the "horizontal" axis, is called the major axis, because for this ellipse it is longer, going units to left and right of the center of the ellipse.
The segment CD, on the "vertical" axis, is called the minor axis, because for this ellipse it is shorter, going units up and down from the center of the ellipse.
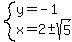
The foci are on the major axis at a distance to both sides of the center, and we calculate from .
.
Soo the coordinates of the foci are .
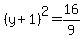
The ends of the latera recta are the points on the ellipse with the same      as the foci.
For those points , so 
The coordinates for those points can be calculated from as
--> --> --> --> -->
|
|
|
| |