SOLUTION: Anatomy of a Parabola in Action The height of a diver above water during a dive can be modeled by h(t) = -16t^2 + 8t + 20. where his height in feet and t is time in sec

Algebra ->  Quadratic-relations-and-conic-sections -> SOLUTION: Anatomy of a Parabola in Action The height of a diver above water during a dive can be modeled by h(t) = -16t^2 + 8t + 20. where his height in feet and t is time in sec      Log On


   



Question 1182891: Anatomy of a Parabola in Action
The height of a diver above water during a dive can be modeled by
h(t) = -16t^2 + 8t + 20.
where his height in feet and t is time in seconds.
5. Find the line of symmetry.
6. State the meaning of the line of symmetry in terms of the situation.
7. Find the vertex.
8. State the meaning of the vertex in terms of the situation.
9. What is the practical domain?
10. What is the practical range?

Answer by MathLover1(20850) About Me  (Show Source):
You can put this solution on YOUR website!

Anatomy of a Parabola in Action
The height of a diver above water during a dive can be modeled by
h%28t%29+=+-16t%5E2+%2B+8t+%2B+20
where h is his height in feet and t is time in seconds
5. Find the line of symmetry.
recall: parabola’s line of symetry passes through vertex, and it is a line x=a where a is x coordinate of the vertex
so, write equation in vertex form by completing a square
h%28t%29+=+%28-16t%5E2+%2B+8t%29+%2B+20...factor out -16
h%28t%29+=+-16%28t%5E2+-+t%2F2%29+%2B+20
h%28t%29+=+-16%28t%5E2+-+%281%2F2%29t%2Bb%5E2%29+-%28-16b%5E2%29%2B+20....since b=%281%2F2%29%2F2=1%2F4 we have
h%28t%29+=+-16%28t%5E2+-+t%2F2%2B%281%2F4%29%5E2%29+%2B16%281%2F4%29%5E2%2B+20
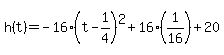
h%28t%29+=+-16%28t+-+1%2F4%29%5E2+%2B16%281%2F16%29%2B+20
h%28t%29+=+-16%28t+-+1%2F4%29%5E2+%2B1%2B+20
h%28t%29+=+-16%28t+-+1%2F4%29%5E2+%2B21
=> h=1%2F4 and k=21


the line of symmetry is x=1%2F16

6. State the meaning of the line of symmetry in terms of the situation.
The axis of symmetry of a parabola is a vertical line that divides the parabola into two congruent halves.
7. Find the vertex.
vertex is at (1%2F4,21)
8. State the meaning of the vertex in terms of the situation.
The vertex of a parabola is the point where the parabola crosses its axis of symmetry. In this case, the vertex will be the highest point on the graph or maximum.
9. What is the practical domain?
domain is R (all real numbers)

10. What is the practical range?
since maximum is at vertex where h%28x%29=21, range is
{ h element+R : h%28x%29%3C=21 }

+graph%28+600%2C+600%2C+-10%2C+10%2C+-10%2C+25%2C++-16%28x+-+1%2F4%29%5E2+%2B21%29+