SOLUTION: How do you write this equation of ellipse in simple form?
3x^2 + 4y^2 + 8y=8
* I tried dividing everything by eigth leaving me with:
3x^2/8 +y^2/2 + y=1
Algebra ->
Quadratic-relations-and-conic-sections
-> SOLUTION: How do you write this equation of ellipse in simple form?
3x^2 + 4y^2 + 8y=8
* I tried dividing everything by eigth leaving me with:
3x^2/8 +y^2/2 + y=1
Log On
Question 118267: How do you write this equation of ellipse in simple form?
3x^2 + 4y^2 + 8y=8
* I tried dividing everything by eigth leaving me with:
3x^2/8 +y^2/2 + y=1
But when i checked to see if i had the right answer i got it wrong this is the correct answer:
x^2/4 + (y+1)^2/3=1
Take half of the "y" coefficient 2 to get 1. Now square 1 to get 1. Add this and it's opposite -1 inside the parenthesis. Notice how 1-1=0 so it does not change the equation.
Factor to get
Distribute
Add 4 to both sides
Combine like terms
Now Divide both sides by 12 to get the right side equal to one. With any ellipse, we always want the right side equal to one.
Break up the fraction on the left side.
Reduce
So the ellipse in standard form is . Remember, we are trying to go from something like to . Looking at your answer, notice how you have an extra "y" which does not fit the standard equation of an ellipse. This is why you must complete the square to get the equation to fit the form. Does that make sense?
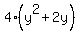
You can put this solution on YOUR website! 3x^2 + 4y^2 + 8y=8
3x^2 + 4(y^2+2y+1) = 8+4
3x^2 + 4(y+1)^2 = 12
3x^2/12 + 4(y+1)^2/12 = 1
x^2/4 + (y+1)^2/3 =1
========================
Cheers,
Stan H.
You can put this solution on YOUR website! The standard form for the equation of an ellipse with center at (h, k) and major axis parallel to the x-axis is: (a is the semi-major axis and b is the semiminor axis) or, if the major axis is parallel to the y-axis:
Starting with the given equation: Group the terms as shown: Now factor a 4 from the y-group. Now complete the square in the y-terms inside the parentheses by adding the square of half the y-coefficient or (), remembering that you are really adding 4 because of the 4 in front of the parentheses. Now simplify this by factoring the trinomial in the y-terms. Now divide through by 12 to get the right side equal to 1. Simplify this.