SOLUTION: Dear Sir Please help me solve this problem. Find the general equation of the of the parabola with vertex at (5, −3) and focus at (6, −3). Sketch and determine the par

Algebra ->  Quadratic-relations-and-conic-sections -> SOLUTION: Dear Sir Please help me solve this problem. Find the general equation of the of the parabola with vertex at (5, −3) and focus at (6, −3). Sketch and determine the par      Log On


   



Question 1181181: Dear Sir
Please help me solve this problem.

Find the general equation of the of the parabola with vertex at (5, −3) and focus at (6, −3).
Sketch and determine the parts of the parabola.
Parts of the Parabola
1. Vertex
2. Focus
3. Directrix
4. Axis of Symmetry
5. 𝑬𝟏
𝑬𝟐
6. Length of 𝐸1, 𝐸2
Thank you and God bless you.
Lorna

Found 3 solutions by Edwin McCravy, MathLover1, mccravyedwin:
Answer by Edwin McCravy(20056) About Me  (Show Source):
You can put this solution on YOUR website!
The solution I had here was incorrect, MathLover1 pointed it out,
I reposted the corrected solution below, and deleted the incorrect solution
that was here.
Edwin

Answer by MathLover1(20850) About Me  (Show Source):
You can put this solution on YOUR website!
just to let you know that Edwin made one mistake in formula
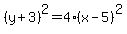
his formula is %28y%2B3%29%5E2=4%28x-5%29%5E2 which is incorrect
part%28x-5%29%5E2 is NOT squared, should be t%28x-5%29
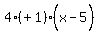
therefore formula is %28y%2B3%29%5E2=4%28x-5%29

Answer by mccravyedwin(407) About Me  (Show Source):
You can put this solution on YOUR website!

MathLover1 is absolutely right! I was doing 
some copy and pasting, and invertently 
copied and pasted an exponent of 2 where it
should not have been.  I was lucky that the 
squaring was only of the number 1. Here is
the entire solution corrected:
------------------------------------------------------------------


The axis of symmetry is the line through the vertex and the focus, which is
the line through (5, -3) and (6, -3) is y = -3, the yellowish green line.

Since the axis of symmetry is horizontal, the equation is of the form

%28y-k%5E%22%22%29%5E2%22%22=%22%224p%28x-h%5E%22%22%29 where (h,k) is the vertex.

So far we have (h,k) = (5,-3)

%28y-%28-3%29%5E%22%22%29%5E2%22%22=%22%224p%28x-5%5E%22%22%29
%28y%2B3%5E%22%22%29%5E2%22%22=%22%224p%28x-5%5E%22%22%29

The directrix, which is always outside the parabola, is always such that the
perpendicular distance from the vertex to it is the same as the distance
between the vertex and the focus, this distance is |p|, and the sign of p
I taken positive if the parabola opens up or right and negative if the
parabola opens down or left.  This one opens right.

Since the vertex and focus are 1 unit apart, the directrix is the vertical
line x = 4, the bright green line, and p=+1 so the equation is

%28y%2B3%5E%22%22%29%5E2%22%22=%22%224%28%22%22%2B1%29%28x-5%5E%22%22%29

%28y%2B3%5E%22%22%29%5E2%22%22=%22%224%28x-5%5E%22%22%29

I'm not familiar with the notation E1 and E2.  I'm guessing that E1 and E2
are the ends of the latus rectum, or focal chord, the vertical line segment
that goes through the focus, the blue line segment.  Its length is the same
as 4p.

So we plug x = 6 in the equation and solve for y:

%28y%2B3%5E%22%22%29%5E2%22%22=%22%224%28x-5%5E%22%22%29
%28y%2B3%5E%22%22%29%5E2%22%22=%22%224%286-5%5E%22%22%29
%28y%2B3%5E%22%22%29%5E2%22%22=%22%224%281%5E%22%22%29
%28y%2B3%5E%22%22%29%5E2%22%22=%22%224%281%29
%28y%2B3%5E%22%22%29%5E2%22%22=%22%224
y%2B3%22%22=%22%22%22%22+%2B-+sqrt%284%29
y%2B3%22%22=%22%22%22%22+%2B-+2

Using the "+", y+3 = 2, y = -1, so E1 = (6,-1)
Using the "-", y+3 = -2, y = -5, so E2 = (6,-5)

We find that its length is 4, which is the same as 4p.
If I guessed wrong about E1 and E2, tell me how your 
book or teacher defines them in the thank-you note
at the bottom of this page and I'll get back to you
by email. 

Edwin