SOLUTION: Find the equation of the ellipse if the vertex is at (5,1) and foci at (-2,1) and (4,1). express your answer in general form
Algebra
->
Quadratic-relations-and-conic-sections
-> SOLUTION: Find the equation of the ellipse if the vertex is at (5,1) and foci at (-2,1) and (4,1). express your answer in general form
Log On
Algebra: Conic sections - ellipse, parabola, hyperbola
Section
Solvers
Solvers
Lessons
Lessons
Answers archive
Answers
Click here to see ALL problems on Quadratic-relations-and-conic-sections
Question 1169055
:
Find the equation of the ellipse if the vertex is at (5,1) and foci at (-2,1) and (4,1). express your answer in general form
Answer by
greenestamps(13200)
(
Show Source
):
You can
put this solution on YOUR website!
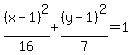
The foci are at (-2,1) and (4,1), so the center is at (1,1), and the major axis is horizontal. The general equation is
a is the semi-major axis (distance between center and each vertex); b is the semi-minor axis. a and b are related by the equation
where c is the distance from the center to each focus.
With the given information, we know a=4 and c=3, so a^2=16 and c^2=9, giving us b^2=16-9=7.
The equation is