SOLUTION: Write an equation in standard form of the ellipse described. Foci at (8, 2) and (2, 2); b = 4

Algebra ->  Quadratic-relations-and-conic-sections -> SOLUTION: Write an equation in standard form of the ellipse described. Foci at (8, 2) and (2, 2); b = 4      Log On


   



Question 1162641: Write an equation in standard form of the ellipse described.
Foci at (8, 2) and (2, 2); b = 4

Answer by Edwin McCravy(20059) About Me  (Show Source):
You can put this solution on YOUR website!
The focus is at the midpoint between the two foci, which is (5,2)

c = the distance from the center to the focus, so c = 3

c² = a²-b² 
3² = a²-4²
 9 = a²-16
25 = a²
 5 = a

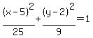
Equation:

%28x-h%29%5E2%2Fa%5E2%2B%28y-k%29%5E2%2Fb%5E2=1

%28x-5%29%5E2%2F5%C2%B2%2B%28y-2%29%5E2%2F3%5E2=1

%28x-5%29%5E2%2F25%2B%28y-2%29%5E2%2F9=1



Edwin