SOLUTION: write an equation in vertex form with a= -2 and the vertex (-3, 5)

Algebra ->  Quadratic-relations-and-conic-sections -> SOLUTION: write an equation in vertex form with a= -2 and the vertex (-3, 5)      Log On


   



Question 1156802: write an equation in vertex form with a= -2 and the vertex (-3, 5)
Found 2 solutions by josgarithmetic, MathTherapy:
Answer by josgarithmetic(39620) About Me  (Show Source):
You can put this solution on YOUR website!
If symmetry axis vertical,
y-5=-2%28x-%28-3%29%29%5E2
or
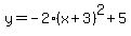
y=-2%28x%2B3%29%5E2%2B5

Answer by MathTherapy(10552) About Me  (Show Source):
You can put this solution on YOUR website!

write an equation in vertex form with a= -2 and the vertex (-3, 5)
Vertex form of a parabolic equation: matrix%281%2C3%2C+y%2C+%22=%22%2C+a%28x+-+h%29%5E2+%2B+k%29
Now, just substitute - 2 for a, (- 3, 5) for (h, k), simplify, and you have your equation in vertex form!