|
Question 1151169: Find the equation of the tangent to that passes through the origin.
Answer by greenestamps(13200) (Show Source):
You can put this solution on YOUR website!
An arbitrary point on the graph of the function is (a,1/(a-4)).
We need to have the slope of the line containing (0,0) and (a,1/(a-4) equal to the slope of the graph of y=1/(x-4) at x=a -- that is, equal to the derivative of the function at x=a.


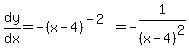
The derivative at x=a is

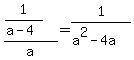
The slope of the line containing (0,0) and (a,1/(a-4) is

So






or 
The function is undefined at x=4; so our solution should be at x=2.
For x=2, the point on the graph is (2,1/(2-4)) = (2,-1/2).
The line through (0,0) and (2,-1/2) -- and therefore the tangent line we are looking for -- is y = (-1/4)x.
A graph of the function and the tangent line through the origin:

|
|
|
| |