|
Question 1144013: Find the equation of the hyperbola with the following properties.
Foci at (10,1) and (10,11)
Asymptotes of y-6 = ± 3/4(x-10)
Answer by greenestamps(13200) (Show Source):
You can put this solution on YOUR website!
The two foci are on the same vertical line, so the branches of the hyperbola open up and down. Then the general equation is in the form

(1) The center of the hyperbola is (h,k).
(2) b is the distance from the center to each end of the transverse axis; a is the distance from the center to each end of the conjugate axis.
With those definitions of a and b, the slopes of the asymptotes are b/a and -b/a.
(3) The distance from the center to each focus is c, where c^2 = a^2+b^2.
Now apply those definitions to the given data to find the equation of this hyperbola.
The center is the point halfway between the two foci, so (h,k) = (10,6). (We can also see that (h,k) = (6,10) from the equations of the asymptotes.)
The distance between the foci is 10, so c=5.
The slopes of the two asymptotes are 3/4 and -3/4, so b/a = 3/4. That, along with c=5, give us b=3 and a=4.
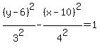
Now we have all we need to write the equation:

or

|
|
|
| |