SOLUTION: Find an equation for the hyperbola with C(2,4), foci F1(2,1) and F2(2,7), and vertices V1(2,6) and V2(2,2)

Algebra ->  Quadratic-relations-and-conic-sections -> SOLUTION: Find an equation for the hyperbola with C(2,4), foci F1(2,1) and F2(2,7), and vertices V1(2,6) and V2(2,2)      Log On


   



Question 1141350: Find an equation for the hyperbola with C(2,4), foci F1(2,1) and F2(2,7), and
vertices V1(2,6) and V2(2,2)

Answer by Edwin McCravy(20059) About Me  (Show Source):
You can put this solution on YOUR website!
Find an equation for the hyperbola with C(2,4), foci F1(2,1) and F2(2,7), and
vertices V1(2,6) and V2(2,2)

We plot those points:



It's a "vertical" hyperbola, opening up and down, like this: 



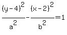
so its equation is 
of the form:

%28y-k%29%5E2%2Fa%5E2-%28x-h%29%5E2%2Fb%5E2+=+1

The center (h,k) is C(2,4) so h=2 and k=4, so, substituting:

%28y-4%29%5E2%2Fa%5E2-%28x-2%29%5E2%2Fb%5E2+=+1

"a" is the distance from the center to the vertex.
The distance from C(2,4) to V1(2,6) is 2 units and
the distance from C(2,4) to V2(2,2) is also 2 units,
so a=2.  So substituting:

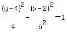
%28y-4%29%5E2%2F2%5E2-%28x-2%29%5E2%2Fb%5E2+=+1
%28y-4%29%5E2%2F4%5E%22%22-%28x-2%29%5E2%2Fb%5E2+=+1

"c" is the distance from the center to the focus.
The distance from C(2,4) to F1(2,1) is 3 units and
the distance from C(2,4) to F2(2,7) is also 3 units,
so c=3.  So substituting:

We must calculate b using the Pythagorean relation for hyperbolas:

a%5E2%2Bb%5E2=c%5E2
2%5E2%2Bb%5E2=3%5E2
4%2Bb%5E2=9
b%5E2=5
b=sqrt%285%29

Substituting b²=5

%28y-4%29%5E2%2F4%5E%22%22-%28x-2%29%5E2%2F5%5E%22%22+=+1 

Edwin