SOLUTION: Find an equation of the ellipse that has center (5,-4) , a minor axis of length 8 , and a vertex at (0,-4) .

Algebra ->  Quadratic-relations-and-conic-sections -> SOLUTION: Find an equation of the ellipse that has center (5,-4) , a minor axis of length 8 , and a vertex at (0,-4) .       Log On


   



Question 1137164: Find an equation of the ellipse that has center (5,-4)
, a minor axis of length 8
, and a vertex at (0,-4)
.

Found 2 solutions by ikleyn, MathLover1:
Answer by ikleyn(52797) About Me  (Show Source):
You can put this solution on YOUR website!
.

Right now I solved a TWIN problem for you under the link

https://www.algebra.com/algebra/homework/Quadratic-relations-and-conic-sections/Quadratic-relations-and-conic-sections.faq.question.1137157.html

https://www.algebra.com/algebra/homework/Quadratic-relations-and-conic-sections/Quadratic-relations-and-conic-sections.faq.question.1137157.html


It is your TEMPLATE.   You just have  ALL  INSTRUCTIONS  on how to solve your problem.

Read it and prove that you are a reasonable learning-able person.


            Do not post TWIN problems to the forum.



Answer by MathLover1(20850) About Me  (Show Source):
You can put this solution on YOUR website!

Find an equation of the ellipse that has
-a center (5,-4)->h=5, k=-4
-a minor axis of length+8->2b=8->b=4
-and a vertex at (0,-4)

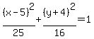
%28x-h%29%5E2%2Fa%5E2%2B%28y-k%29%5E2%2Fb%5E2=1.....plug in h=5,+k=-4, and b=4
%28x-5%29%5E2%2Fa%5E2%2B%28y-%28-4%29%29%5E2%2F4%5E2=1
%28x-5%29%5E2%2Fa%5E2%2B%28y%2B4%29%5E2%2F16=1

a vertex at (0,-4), use it to find a%5E2

%280-5%29%5E2%2Fa%5E2%2B%28-4%2B4%29%5E2%2F16=1
25%2Fa%5E2%2B0%2F16=1
25=a%5E2

%28x-5%29%5E2%2F25%2B%28y%2B4%29%5E2%2F16=1