SOLUTION: Find the equation in standard form of the hyperbola that has foci at (8, 1)(-8, 1) and transverse axis with length 14.

Algebra ->  Quadratic-relations-and-conic-sections -> SOLUTION: Find the equation in standard form of the hyperbola that has foci at (8, 1)(-8, 1) and transverse axis with length 14.      Log On


   



Question 1136330: Find the equation in standard form of the hyperbola that has foci at (8, 1)(-8, 1) and
transverse axis with length 14.

Answer by MathLover1(20850) About Me  (Show Source):
You can put this solution on YOUR website!
Find the equation in standard form of the hyperbola that has
foci at (8, 1) , (-8, 1)
and transverse axis with length 14

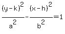
The standard form of a hyperbola that opens sideways is
%28x+-+h%29%5E2+%2F+a%5E2+-+%28y+-+k%29%5E2+%2F+b%5E2+=+1
For the hyperbola that opens up and down, it is
%28y+-+k%29%5E2+%2F+a%5E2+-+%28x+-+h%29%5E2+%2F+b%5E2+=+1
In both cases, the center of the hyperbola is given by (h, k).
The vertices are a+spaces away from the center.
The "foci" of an hyperbola are "inside" each branch, and each focus is located some fixed distance c from the center.
The endpoints of the transverse axis are called the vertices of the hyperbola.
The distance between the vertices is 2a. The distance between the foci is 2c.
if foci at (8, 1) , (-8, 1) , the distance between is 16, then
2c=16
c=8

if transverse axis with length 14, means distance between vertices is

2a=14->a=7
and vertices are at (7, 0) , (-7, 0)
and its midpoint is the center of the hyperbola => which is at (-7, 0)
%28x+-+0%29%5E2+%2F+7%5E2+-+%28y+-+0%29%5E2+%2F+b%5E2+=+1
find b
b%5E2=c%5E2-a%5E2
b%5E2=8%5E2-7%5E2
b%5E2=64-49
b%5E2=15
x%5E2+%2F+49+-+y%5E2+%2F15+=+1