SOLUTION: Find the equation whose vertex is (2,-2) that passes through the point (4,0))
Algebra
->
Quadratic-relations-and-conic-sections
-> SOLUTION: Find the equation whose vertex is (2,-2) that passes through the point (4,0))
Log On
Algebra: Conic sections - ellipse, parabola, hyperbola
Section
Solvers
Solvers
Lessons
Lessons
Answers archive
Answers
Click here to see ALL problems on Quadratic-relations-and-conic-sections
Question 1106108
:
Find the equation whose vertex is (2,-2) that passes through the point (4,0))
Answer by
josgarithmetic(39620)
(
Show Source
):
You can
put this solution on YOUR website!
How do you mean "equation"?
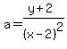
Here is a possibility.
, but not the only possible answer