|
Question 1106060: The graph of the conic equation has vertices and foci equal to ??
Answer by greenestamps(13200) (Show Source):
You can put this solution on YOUR website!
The equation has both x^2 and y^2 terms, with the same sign and different coefficients, so the equation is of an ellipse.
The standard form of the equation of an ellipse is
if the major axis is in the x direction; or
if the major axis is in the y direction
In both formulas, (h,k) is the center of the ellipse; and a and b are the semi-major and semi-minor axes, respectively.
Two different forms of the equation are necessary, because for the ellipse the a has to be the length of the semi-major axis.
Parameter c is the distance from the center of the ellipse to each focus; for an ellipse, . Note that this formula for finding the value of c is why it is necessary to have a > b.
To find the vertices and foci, you need to put the given equation in the standard form. To do that, you need to complete the square in both x and y, then divide by the appropriate constant to get the right side of the equation equal to 1.







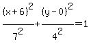
This is in standard form:
The center of the ellipse is (h,k) = (-6,0).
a is 7; the semi-major axis has length 7 in the x direction, so the vertices are at (-13,0) and (1,0).
b is 4; the semi-major axis has length 4 in the y direction. If you need the co-vertices, they are 4 units in the positive and negative y direction from the center -- at (-6,-4) and (-6,4).
The distance from the center to each focus is c, which is . So the foci are at (-6-sqrt(33),0) and (-6+sqrt(33),0).
|
|
|
| |