Question 1094135: find the equation of two circles which pass through point (2, 0) that have both Y-axis and the line y-1 =0 as the tangent.
am sorry to asked this question but I need your help.
thank
Found 2 solutions by greenestamps, Edwin McCravy: Answer by greenestamps(13200) (Show Source):
You can put this solution on YOUR website! To be tangent to the y-axis (the line x=0) and the line y-1=0 (i.e., y=1), the center of the circle must be equidistant from x=0 and y=1. The set of points equidistant from x=0 and y=1 is the line with slope -1 passing through (0,1), the intersection point of lines y=1 and x=0.
The equation of that line is

So an arbitrary point on that line will have coordinates (a,-a+1). The distance of any such point from the y-axis is clearly equal to a. For the circle to pass through the point (2,0), the distance between (a,-a+1) and (2,0) must also be equal to a. Since the distances need to be the same, the squares of the distances need to be the same. So





The x coordinates of the centers of the two circles are 5 and 1. For the circle with center x coordinate 1, the y coordinate is (-1+1) = 0; for the other circle, the y coordinate is (-5+1) = -4. So the centers of the two circles are (1,0) and (5,-4).
Since the circles are tangent to the y axis, the radius of each is the x coordinate of the center. So the two circles are
(1) center (1,0), radius 1 and
(2) center (5,-4), radius 5.
The equations are then
(1) (x-1)^2+y^2 = 1 and
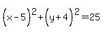
(2) (x-5)^2 + (y+4)^2 = 25
Answer by Edwin McCravy(20059) (Show Source):
You can put this solution on YOUR website!
Let the radius be r,
Then the x-coordinate of the center is the length of the
radius from the y-axis, so it is r.
The y-coordinate of the center is r units below the line
y-1 = 0, which is the same as y = 1, a horizontal line
1 unit above and parallel to the x-axis, in red.
The y-coordinate of the center is 5 units below the red line.
Since the red line is 1 unit above the x-axis, we need to
subtract the radius from 1 to get the y-coordinate, That's
1-r, so that's the y-coordinate of the center, and the
center is (r,1-r).
The center is (r,r-1) and the radius is r
so the equation of the circle,
becomes:
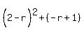
and since it goes through (2,0)
r-1 = 0; r-5 = 0
r = 1 r = 5
The small circle has r=1, center (r,1-r) = (1,1-1) = (1,0)
and the large circle has r=5, center (r,1-r) = (5,1-5) = (5,-4)
Edwin
|
|
|