Question 1088643: The center of an ellipse is on (-2, -1) and one of its vertex is on (3, -1). It the length of each latus rectum is 4, find the equation of the ellipse, its excentricity and the coordinates of its foci.
Answer by MathLover1(20850) (Show Source):
You can put this solution on YOUR website!
is an ellipse with center ( , ), horizontal axis length , and vertical axis length ,vertices are at ( ± , ), foci is at ( ± , )
Note that the center is the midpoint of the segment joining the foci.
if the center of an ellipse is on ( , ), we have and
vertices are at ( ± , )=( , )
=>
=>
foci is at ( ± , )= ( ± , )
so far, your equation is:
the length of each latus rectum is: 
=> => =>
foci is at:
( ± , )=>the coordinates of its foci
( , ) or ( , )
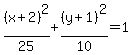
your equation is:
=>the equation of the ellipse
and, its eccentricity: ≈
|
|
|