SOLUTION: Please help me solve this equation:Find the equation of the circle center (2 , -3) and radius 4
Algebra
->
Quadratic-relations-and-conic-sections
-> SOLUTION: Please help me solve this equation:Find the equation of the circle center (2 , -3) and radius 4
Log On
Algebra: Conic sections - ellipse, parabola, hyperbola
Section
Solvers
Solvers
Lessons
Lessons
Answers archive
Answers
Click here to see ALL problems on Quadratic-relations-and-conic-sections
Question 1087333
:
Please help me solve this equation:Find the equation of the circle center (2 , -3) and radius 4
Answer by
ikleyn(52803)
(
Show Source
):
You can
put this solution on YOUR website!
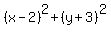
.
=
, or, which is the same,
= 16.
See the lesson
-
Standard equation of a circle
in this site.