—
For a (vertical) parabola with vertex @(h,k):
Vertex is at (0,0) so h=k=0: so this parabola has equation
Solve for p (the distance from vertex to focus) by comparison: ==> ==> p=2
So focus is at (0,2). Latus rectum passed through (0,2) and intersects parabola where or (-4,2) and (4,2)
Using just the first quadrant & symmetry with 2nd quadrant:
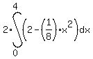
Area =
= evaluated at 4 and 0
=
=