SOLUTION: Find an equation for the hyperbola with center (2, 3), vertex (0, 3), and focus (5, 3).

Algebra ->  Quadratic-relations-and-conic-sections -> SOLUTION: Find an equation for the hyperbola with center (2, 3), vertex (0, 3), and focus (5, 3).      Log On


   



Question 1076493: Find an equation for the hyperbola with center (2, 3),
vertex (0, 3), and focus (5, 3).

Answer by FrankM(1040) About Me  (Show Source):
You can put this solution on YOUR website!
.
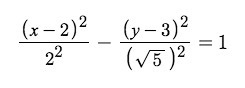
This is the standard form of the hyperbola.
The x-2 and y-3 are from the center point.
The first denominator is the distance from the center point to the vertex
The Sqrt(5) is a bit tougher to explain. A triangle is formed, a^2 + b^2 = c^2
A is that distance 2. C is the distance from center to Foci or 3. And B is the resulting Sqrt(5)

If you have a question, respond through system, and I can update the image to show the last bit better or see my Desmos version https://www.desmos.com/calculator/uc4bydisnn