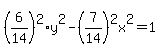
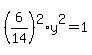
SOLUTION: what is the vertices of hyperbola 36y^2-49x^2=196
Algebra
->
Quadratic-relations-and-conic-sections
-> SOLUTION: what is the vertices of hyperbola 36y^2-49x^2=196
Log On
Algebra: Conic sections - ellipse, parabola, hyperbola
Section
Solvers
Solvers
Lessons
Lessons
Answers archive
Answers
Click here to see ALL problems on Quadratic-relations-and-conic-sections
Question 1073987
:
what is the vertices of hyperbola 36y^2-49x^2=196
Answer by
josgarithmetic(39620)
(
Show Source
):
You can
put this solution on YOUR website!
VERTICES: (0, -7/3), (0, 7/3)