SOLUTION: what is the vertex of -x^2+2x-7

Algebra ->  Quadratic-relations-and-conic-sections -> SOLUTION: what is the vertex of -x^2+2x-7       Log On


   



Question 1070725: what is the vertex of -x^2+2x-7




Found 3 solutions by Fombitz, MathTherapy, Alan3354:
Answer by Fombitz(32388) About Me  (Show Source):
You can put this solution on YOUR website!
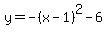
Complete the square to get into vertex form,
y=-x%5E2%2B2x-7
y=-%28x%5E2-2x%29-7
y=-%28x%5E2-2x%2B1%29-7%2B1
y=-%28x-1%29%5E2-6
.
.
.
(h,k)=(1,-6)

Answer by MathTherapy(10552) About Me  (Show Source):
You can put this solution on YOUR website!

what is the vertex of -x^2+2x-7
x-coordinate of vertex occurs at x= matrix%281%2C5%2C+-+b%2F%282a%29%2C+%22=%22%2C+-+2%2F%282+%2A+-+1%29%2C+%22=%22%2C+1%29
y-coordinate of vertex is:
highlight_green%28matrix%281%2C3%2C+%22Vertex%3A%22%2C+%22%281%2C%22%2C+%22-+6%29%22%29%29

Answer by Alan3354(69443) About Me  (Show Source):
You can put this solution on YOUR website!
what is the vertex of -x^2+2x-7
----------
It's not an equation --> no vertex.