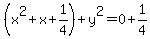
SOLUTION: Find the center​ (h,k) and radius r of the circle and then use these to​ (a) graph the circle and​ (b) find the​ intercepts, if any.
40x^2+40x+40y^2=0
Algebra ->
Quadratic-relations-and-conic-sections
-> SOLUTION: Find the center​ (h,k) and radius r of the circle and then use these to​ (a) graph the circle and​ (b) find the​ intercepts, if any.
40x^2+40x+40y^2=0
Log On
Question 1070453: Find the center (h,k) and radius r of the circle and then use these to (a) graph the circle and (b) find the intercepts, if any.
40x^2+40x+40y^2=0 Answer by josgarithmetic(39620) (Show Source):