SOLUTION: Write the equation of a hyperbola with a center at (-5,-3), vertices at (-5,-5) and (-5,-1) and co vertices at (-11,-3) and (1,-3) Thanks so much!! Kim

Algebra ->  Quadratic-relations-and-conic-sections -> SOLUTION: Write the equation of a hyperbola with a center at (-5,-3), vertices at (-5,-5) and (-5,-1) and co vertices at (-11,-3) and (1,-3) Thanks so much!! Kim      Log On


   



Question 1067781: Write the equation of a hyperbola with a center at (-5,-3), vertices at (-5,-5) and (-5,-1) and co vertices at (-11,-3) and (1,-3)
Thanks so much!!
Kim

Answer by Edwin McCravy(20060) About Me  (Show Source):
You can put this solution on YOUR website!



The equation of a hyperbola that opens upward and downward has
general equation

%28y-k%29%5E2%2Fa%5E2-%28x-h%29%5E2%2Fb%5E2%22%22=%22%221

where (h,k) is the center, a = half the transverse axis,
b = half the conjugate axis.

(h,k) = (-5,-3)

The red vertical line is the transverse axis. It is 4 units long.
The semi-transverse axis is half the transverse axis, so a=2

The blue horizontal line is the conjugate axis. It is 12 units long.
The semi-transverse axis is half the conjugate axis, so b=6

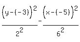
So the equation of the hyperbola, which is what you want, is

%28y-%28-3%29%5E%22%22%29%5E2%2F2%5E2-%28x-%28-5%29%5E%22%22%29%5E2%2F6%5E2%22%22=%22%221

%28y%2B3%29%5E2%2F4%5E%22%22-%28x%2B5%29%5E2%2F36%5E%22%22%22%22=%22%221

The green rectangle is the "defining rectangle".  The slanted green
lines are the extended diagonals of the defining rectangle.  They are 
the asymptotes of the hyperbola.

Edwin