Question 1060958: what is the length of the major axis of the ellipse X2+9Y2-2X+18Y+1=0?
Answer by KMST(5328) (Show Source):
You can put this solution on YOUR website! 




You can continue to
,
but even before that last step, it is obvious that
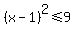
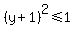
while ,
so ranges from to ,
a difference of ,
and of course the extreme values of also have a difference of .
The length of the major axis is .

NOTES:
The last two equations show that the ellipse is symmetrical with respect to and , so (1,-1) is the center.
In general, an ellipse can be written in the form
, or ,
and once you get to that form,
choosing and so that ,
is the semi-major axis, which is parallel to the x- or y-axis (whatever variable is on to of the ),
is the semi-minor axis,
is the center,
and you can find the foci knowing that
they are on the major axis, at a distance to each side of the center, with .
|
|
|