SOLUTION: What values of the constant a,b and c make the ellipse 4x^2+y^2+ax+by+c=0 lie tangent to the x axis at the origin and pass through the point -1,2?What is the eccentricity of the el

Algebra ->  Quadratic-relations-and-conic-sections -> SOLUTION: What values of the constant a,b and c make the ellipse 4x^2+y^2+ax+by+c=0 lie tangent to the x axis at the origin and pass through the point -1,2?What is the eccentricity of the el      Log On


   



Question 1058625: What values of the constant a,b and c make the ellipse 4x^2+y^2+ax+by+c=0 lie tangent to the x axis at the origin and pass through the point -1,2?What is the eccentricity of the ellipse?

Answer by solve_for_x(190) About Me  (Show Source):
You can put this solution on YOUR website!
Since the ellipse is tangent to the x-axis at the origin, the point (0, 0) is on the curve of the ellipse.

This gives:

4(0)^2 + (0)^2 + a(0) + b(0) + c = 0 --> c = 0

Since c = 0, it can be dropped from the equation.

Rearranging the equation gives:

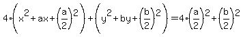
4x^2 + ax + y^2 + by = 0

Completing the square for both x and y gives:

4%28x%5E2+%2B+ax%29+%2B+%28y%5E2+%2B+by%29+=+0



4%28x+%2B+a%2F2%29%5E2+%2B+%28y+%2B+b%2F2%29%5E2+=+a%5E2+%2B+b%5E2%2F4

The above is the equation of an ellipse that is centered on the point (-a/2, -b/2).

Since the ellipse is tangent to the x-axis at the origin, the x-coordinate of the center
of this ellipse is 0, which means that -a/2 = 0, or a = 0.

Substituting a = 0 into the above equation then leaves:

4x%5E2+%2B+%28y+%2B+b%2F2%29%5E2+=+b%5E2%2F4

Then, the point (-1, 2) is also known to be on the curve. Substituting x = -1 and y = 2
into the equation and solving for b gives:

4%28-1%29%5E2+%2B+%282+%2B+b%2F2%29%5E2+=+b%5E2%2F4

4+%2B+4+%2B+2b+%2B+b%5E2%2F4+=+b%5E2%2F4

8+%2B+2b+=+0

2b = -8

b = -4

Solution: a = 0, b = -4, c = 0

Graph of the ellipse: