SOLUTION: Please help me. transform this general form into standard form. 4x^2+4y^2+12x-8y+25 =0

Algebra ->  Quadratic-relations-and-conic-sections -> SOLUTION: Please help me. transform this general form into standard form. 4x^2+4y^2+12x-8y+25 =0      Log On


   



Question 1057342: Please help me.
transform this general form into standard form.
4x^2+4y^2+12x-8y+25 =0

Answer by josgarithmetic(39620) About Me  (Show Source):
You can put this solution on YOUR website!
4x%5E2%2B4y%5E2%2B12x-8y%2B25+=0

4%28x%5E2%2B3x%29%2B4%28y%5E2-2y%29=-25

4%28x%5E2%2B3x%2B%283%2F2%29%5E2%29%2B4%28y%5E2-2y%2B1%29=-25%2B4%283%2F2%29%5E2%2B4, this being Completing The Squares

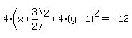
4%28x%2B3%2F2%29%5E2%2B4%28y-1%29%5E2=-21%2B9

4%28x%2B3%2F2%29%5E2%2B4%28y-1%29%5E2=-12

%28x%2B3%2F2%29%5E2%2B%28y-1%29%5E2=-3
...Almost looks like a cirlce,...
A mistake must be somewhere.....