|
Question 1044354: Express the equation of the ellipse in standard form. Then,
give the coordinates of the center, vertex, the foci, and
the endpoints of the latus rectum. Draw the ellipse, its
foci, and directrices.
* 3x²+7y²-12x-28y+19=0
Answer by Edwin McCravy(20059) (Show Source):
You can put this solution on YOUR website! Question 1044336
Give the coordinates of the center, foci, and covertices
of the ellipse with equation
Express the equation of the ellipse in standard form.
Then, give the coordinates of the center, vertex, the
foci, and the endpoints of the latus rectum. Draw the
ellipse, its foci, and directrices.
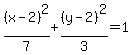
3x²+7y²-12x-28y+19 = 0
Rearrange
Factor out coefficients of squared letters:
To complete the squares, we need to add a number to the
end of each parentheses, and to the right side:
 
so we put a blank where we need to add numbers.
To complete the square in the first parentheses:
1. Multiply the coefficient of x by :
2. Square that result:
3. Put that where the first blank is on the left side:
 
So we complete the square in the first parentheses by
adding +4 inside the first parentheses
which actually amounts to adding 3*4 or 12 to the left
side because there is a 3 in front of the parentheses, so
we must add 12 to the right side:
 
To complete the square in the second parentheses, since the
coefficient of y in the second parentheses is the same as the
coefficient of x in the first parentheses, we also put +4 in
second blank on the left as well.
 
Since we complete the square in the second parentheses by adding +4
inside the second parentheses, that actually amounts to adding 7*4
or 28 to the left side because there is a 7 in front of the
parentheses, so we must add 28 to the right side, so we put 28
in the remaining blank on the right side:
 
We factor both parentheses as perfect squares of binomials,
and combine the numbers on the right side:
Get a 1 on the right by dividing through by 21
Simplify.
Since the largest denominator is under the term in
x, the ellipse has a horizontal major axis. So we
compare it to:
, ,
so
so
Its center is at (h,k) = (2,2)
Plot the center (2,2):
Draw the major axis units both left and right
of the center.
Draw the minor axis units both above and below
the center.
The vertices are units right and left the center (2,2)
So we add to the x-coordinate of the center. So the
right vertex is
And we subtract from the y-coordinate of the center. So the
left vertex is
The covertices are units above and below the center (2,2)
So we add to the y-coordinate of the center. So the
upper covertex is .
And we subtract from the y-coordinate of the center.
So the lower covertex is .
Sketch in the ellipse:
To find the foci, we must calculate c, using the Pythagorean
relationship
The foci are units above and below the
center (2,2)
So we add to the x-coordinate of the center
So the right focus is (4,2)
And we subtract from the x-coordinate of
the center.
So the left focus is (0,2)
We plot the two foci:
)}}}
Finally we draw in the two latus rectums:
To find the endpoints of the two latus rectums, we substitute
the x-coordinates of the foci in the original equation:
3x²+7y²-12x-28y+19 = 0
Substituting x=0, the x-coordinate of the left focus:
3(0)²+7y²-12(0)-28y+19 = 0
7y²-28y+19 = 0
 
 
 
 
 
 
 
 
So the endpoints of the left latus rectum are
By symmetry, the endpoints of the right latus rectum are
To find the directrices, we determine the eccentricity e
by the formula
   
   
The distance from the focus to the endpoint of the latus rectum is
So the above becomes:
 
Take reciprocals of both sides:
 
Multiply both sides by
 
To find the right directrix, we add to the x-coordinate of
the right focus and get or or 7.5. So the
right directrix is the vertical line whose equation is .
To find the left directrix, we subtract to the x-coordinate of
the left focus and get or or -3.5. So the
left directrix is the vertical line whose equation is .
They are the blue lines below:
Edwin
|
|
|
| |