Question 1043408: Find the standard equation,center,foci,asymptotes of 3x^2-2y^2-42x-10y=-64
Answer by MathLover1(20850) (Show Source):
You can put this solution on YOUR website! Find the standard equation,center,foci,asymptotes of
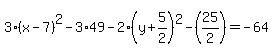
...group alike terms
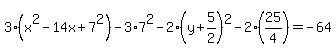
..........complete squares
......both sides multiply by
.....both sides divide by
->hyperbola, the standard equation


and
so, the center is at ( , )= ( , )
foci: since , the foci will be units to either side of the center, and it must be at
( , ) and ( , )
or ( , ) and ( , )
Since the vertices are units to either side of the center ( , )= ( , ), then they are at
( , ) and at ( , )
or ( , ) and at ( , )
Since the went with the part of the equation, then is in the denominator of the slopes of the asymptotes, giving me ; so, or . Keeping in mind that the asymptotes go through the center of the hyperbola, the asymptes are then given by the straight-line equations
The asymptotes are , and they are:

and

|
|
|