|
Question 1042211: Find the equation of the ellipse
center: C(-2,3)
major axis is horizontal
passes through (1,4) (2,3)
Answer by Edwin McCravy(20060) (Show Source):
You can put this solution on YOUR website! Find the equation of the ellipse
center: C(-2,3)
major axis is horizontal
passes through (1,4) (2,3)
----------------------
So that I won't be doing your homework for you,
I'll do one exactly like yours with the numbers
changed but with the same step-by-step procedure:
Find the equation of the ellipse
center: C(-3,4)
major axis is horizontal
passes through (1,5) (2,4)
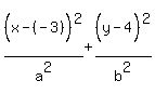
All ellipses with center (h,k), semi-major axis length
"a", and semi-minor axis length "b", has equation:
 
Since we know that the center is C(-3,4), we know that
(h,k) = (-3,4), so we can substitute -3 for h and 4 for k.
 
or
 
We plot the given points. And since the major axis is
horizontal and the point (2,4) has the same y-coordinate
as the center, that means that the point (2,4) is the
right vertex of the ellipse. So we can sketch it in
like this:
Let's draw in the semi-major axis (in green):
By counting the blocks on the graph paper, we know
that the major axis is 5 units long. And since "a"
is the length of the major axis, we can substitute 5
for "a" in the equation:
 
and now we have the equation
 
or squaring 5:
 
All we have left is to find the value of "bē".
To get that we use the point (1,5) that the ellipse
passes through. We know that when x=1 and y=5, the
equation must be true, so we substitute those
temporarily for the variables x and y:
 
 
 
 
We multiply through by the LCD of 25bē
 
Subtract 16bē from both sides:
 
Divide both sides by 9
 
Now we can substitute that for bē and we have the
complete equation for the ellipse:
 
Now all you have to do is use the above as a model
and do yours step-by-step as the above.
Edwin
|
|
|
| |