SOLUTION: Determine the center and radii of the ellipse 2x^2+8x+3y^2-12y=10

Algebra ->  Quadratic-relations-and-conic-sections -> SOLUTION: Determine the center and radii of the ellipse 2x^2+8x+3y^2-12y=10      Log On


   



Question 1041900: Determine the center and radii of the ellipse 2x^2+8x+3y^2-12y=10
Answer by Edwin McCravy(20059) About Me  (Show Source):
You can put this solution on YOUR website!

We get it into one of the forms:


%28x-h%29%5E2%2Fa%5E2%2B%28y-k%29%5E2%2Fb%5E2+=+1 or %28x-h%29%5E2%2Fb%5E2%2B%28y-k%29%5E2%2Fa%5E2+=+1

2x²+8x+3y²-12y = 10

2(x²+4x)+3(y²-4y) = 10

Take half of 4, get 2.
Square 2, get 4.
Add 4 inside the first parentheses. 
Since the first parentheses is 
multiplied by 2, adding 2 inside
the first parentheses amounts to
adding 2 times 4, or 8 to the left
side.  So add 8 to the right side
to offset.

2(x²+4x+4)+3(y²-4y) = 10+8

Take half of -4, get -2.
Square -2, get 4.
Add 4 inside the second parentheses. 
Since the second parentheses is 
multiplied by 3, adding 4 inside
the second parentheses amounts to
adding 3 times 4, or 12 to the left
side.  So add 12 to the right side
to offset.

2(x²+4x+4)+3(y²-4y+4) = 10+8+12

Factor each parenthetical expression
as the square of a binomial and collect
terms on the right.

2(x+2)²+3(y-2)² = 30

Get 1 on the right side by dividing
every term by 30

2%28x%2B2%29%5E2%2F30%2B3%28y-2%29%5E2%2F30+=+30%2F30

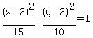
%28x%2B2%29%5E2%2F15%2B%28y-2%29%5E2%2F10+=+1

Since the larger denominator is under the 
term in x, we can tell that the ellipse 
looks like this drawing%2820%2C10%2C-2%2C2%2C-1%2C1%2Carc%280%2C0%2C-3.9%2C1.9%29+%29
 and not like this drawing%2810%2C20%2C-1%2C1%2C-2%2C2%2Carc%280%2C0%2C1.9%2C-3.9%29+%29.

We compare it to the standard form for an ellipse:

%28x-h%29%5E2%2Fa%5E2%2B%28y-k%29%5E2%2Fb%5E2+=+1

h=-2, k=2, a²=15, b²=10
So the center is (h,k) = (-2,2) and

a=sqrt%2815%29, b=sqrt%2810%29

Those are the semi-major and semi-minor axes. You
call them long and short radii?



Edwin