SOLUTION: Find the equation of the parabola if axis is horizontal, vertex on y axis and passing through (2,4) and (8,-2)

Algebra ->  Quadratic-relations-and-conic-sections -> SOLUTION: Find the equation of the parabola if axis is horizontal, vertex on y axis and passing through (2,4) and (8,-2)      Log On


   



Question 1018040: Find the equation of the parabola if axis is horizontal, vertex on y axis and passing through (2,4) and (8,-2)
Answer by josgarithmetic(39620) About Me  (Show Source):
You can put this solution on YOUR website!
Parabola with horizontal SYMMETRY axis, x=a%28y-k%29%5E2%2Bh; if vertex is ON the y-axis, then h=0, and the form is x=a%28y-k%29%5E2.

Next, your two given points on the parabola will give you the system of equations,
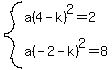
system%28a%284-k%29%5E2=2%2Ca%28-2-k%29%5E2=8%29

which you can work with...
system%28a=2%2F%284-k%29%5E2%2Ca=8%2F%282%2Bk%29%5E2%29

and then 2%2F%284-k%29%5E2=8%2F%282%2Bk%29%5E2 and solve for k, before solving for a. That is HOW to continue. You can finish this.