SOLUTION: find the point of intersection of each line to the ellipse {{{x^2/9 + y^2/36 = 1}}} a.) y=2x+2 b.) y=-2x-9 c.) 2x+5y+3=0 please show me how you'll gonna do it, for future r

Algebra ->  Quadratic-relations-and-conic-sections -> SOLUTION: find the point of intersection of each line to the ellipse {{{x^2/9 + y^2/36 = 1}}} a.) y=2x+2 b.) y=-2x-9 c.) 2x+5y+3=0 please show me how you'll gonna do it, for future r      Log On


   



Question 1016146: find the point of intersection of each line to the ellipse x%5E2%2F9+%2B+y%5E2%2F36+=+1
a.) y=2x+2
b.) y=-2x-9
c.) 2x+5y+3=0
please show me how you'll gonna do it, for future reference and thank you in advance

Answer by Alan3354(69443) About Me  (Show Source):
You can put this solution on YOUR website!
find the point of intersection of each line to the ellipse x%5E2%2F9+%2B+y%5E2%2F36+=+1
a.) y=2x+2
x%5E2%2F9+%2B+y%5E2%2F36+=+1
Sub for y
x%5E2%2F9+%2B+%282x%2B2%29%5E2%2F36+=+1
4x%5E2+%2B+4x%5E2+%2B+8x+%2B+4+=+36
8x%5E2+%2B+8x+-+32+=+0
x%5E2+%2B+x+-+4+=+0
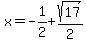
x+=+-1%2F2+%2Bsqrt%2817%29%2F2
y = 2x + 2
y+=+1+%2B+sqrt%2817%29
--> the point (x,y)
-------
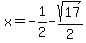
x+=+-1%2F2+-sqrt%2817%29%2F2
y = 2x + 2
y+=+1+-+sqrt%2817%29
--> the 2nd point (x,y)
===================================
b.) y=-2x-9
Similar to above.
===============================
c.) 2x+5y+3=0
--> y = -(2x + 3)/5
Sub as above.
==================================
If there are no real solutions, there are no intersections.
email via the TY note for help or to check your work.