Question 1008214: find the standard equation of cire that passes through irigin has radius 5 and such that y_co ordinate of its centre is -4
Answer by josgarithmetic(39620) (Show Source):
You can put this solution on YOUR website! Standard Form Equation for a Circle, , center (h,k) and radius r.
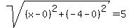
Your given circle has center (?,-4), you do not immediately know the x coordinate. You only know that (0,0) is a point on the circle, r=5, and some unknown point (x,-4) is therefore 5 units distance from the origin (0,0). In an equation,

Center can be (-3,-4) or (3,-4).
Circle can be .
|
|
|