SOLUTION: Write an equation of an ellipse centered at the origin with height 8 units and width 16 units. thank youuu
Algebra
->
Quadratic-relations-and-conic-sections
-> SOLUTION: Write an equation of an ellipse centered at the origin with height 8 units and width 16 units. thank youuu
Log On
Algebra: Conic sections - ellipse, parabola, hyperbola
Section
Solvers
Solvers
Lessons
Lessons
Answers archive
Answers
Click here to see ALL problems on Quadratic-relations-and-conic-sections
Question 1004725
:
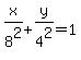
Write an equation of an ellipse centered at the origin with height 8 units and width 16 units.
thank youuu
Answer by
josgarithmetic(39620)
(
Show Source
):
You can
put this solution on YOUR website!
and
.
The big number goes under x and the small number goes under y. Fit into standard form.
, untranslated from center of Origin.