SOLUTION: Write the equation of an ellipse with vertices at (7, 0) and (-7, 0) and co-vertices at (0, 1) and (0, -1).

Algebra ->  Quadratic-relations-and-conic-sections -> SOLUTION: Write the equation of an ellipse with vertices at (7, 0) and (-7, 0) and co-vertices at (0, 1) and (0, -1).       Log On


   



Question 983479: Write the equation of an ellipse with vertices at (7, 0) and (-7, 0) and co-vertices at (0, 1) and (0, -1).

Answer by KMST(5328) About Me  (Show Source):
You can put this solution on YOUR website!
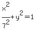
x%5E2%2F7%5E2%2By%5E2=1<-->x%5E2%2F49%2By%5E2=1
If vertices and co-vertices are symmetrical with respect to the origin,
then the ellipse is centered at the origin.
The equation of an ellipse centered at the origin is
x%5E2%2Fa%5E2%2By%5E2%2Fb%5E2=1 .
When x=0 , y%5E2%2Fb%5E2=1--->system%28x=0%2C%22with%22%2Cy=-b%2C%22or%22%2Cy=b%29 are the coordinates of vertices or co-vertices.
When y=0 , x%5E2%2Fa%5E2=1--->system%28y=0%2C%22with%22%2Cx=-a%2C%22or%22%2Cx=a%29 are the coordinates of vertices or co-vertices.