SOLUTION: Parabola with vertex at (1, 3) and x = 5 as directrix

Algebra ->  Quadratic-relations-and-conic-sections -> SOLUTION: Parabola with vertex at (1, 3) and x = 5 as directrix       Log On


   



Question 982511: Parabola with vertex at (1, 3) and x = 5 as directrix

Answer by josgarithmetic(39630) About Me  (Show Source):
You can put this solution on YOUR website!
Knowing the vertex and directrix, you can determine the focus point. See 4 units to the left of x=1; this would be x=-3. The focus is (-3,3).

If you already know the derived formula for a parabola based on the definition and the use of the Distance Formula, then you are ready to use it directly.

4px=y%5E2 would be parabola with focus at (-p,0) for some number p%3E0 and vertex at the origin, (0,0). This is for a axis of symmetry being the x-axis.

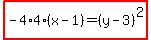
YOUR example is concave to the left, and also a horizontal parabola, and abs%28p%29=4. Put all the data into the equation model, as translated from standard position: highlight%28-4%2A4%2A%28x-1%29=%28y-3%29%5E2%29.
-
You could also derive this from the known focus and given directrix according to the definition of a parabola.