SOLUTION: what is the center of the hyperbola 4y^2-12x^2-72x-16y-44=0 ?

Algebra ->  Quadratic-relations-and-conic-sections -> SOLUTION: what is the center of the hyperbola 4y^2-12x^2-72x-16y-44=0 ?      Log On


   



Question 974268: what is the center of the hyperbola 4y^2-12x^2-72x-16y-44=0 ?
Answer by lwsshak3(11628) About Me  (Show Source):
You can put this solution on YOUR website!
what is the center of the hyperbola
4y^2-12x^2-72x-16y-44=0 ?
4y^2-16y-12x^2-72x=44
complete the square:
4(y^2-4y+4)-12(x^2+6x+9)=44+16-108=-48
mult. both sides of equation by (-1)
-4(y^2-4y+4)+12(x^2+6x+9)=48
12(x^2+6x+9)-4(y^2-4y+4)=48
12(x+3)^2-4(y-2)^2=48
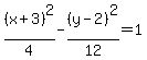
Equation of given hyperbola:
%28x%2B3%29%5E2%2F4-%28y-2%29%5E2%2F12=1
center: (-3,2)